热门搜索:颜色测量、光泽度测量、涂层膜厚测量、光谱测量、光源开发 

测色仪与色差仪的测量标准——颜色空间

对分光测色仪、色差仪等光电仪器来说,如何用精确的数据来表示一个颜色,从而将他们区分开来一直是一个问题,从上个世纪开始就有许多科学家在给颜色定制一个区分标准。时至今...

对分光测色仪、色差仪等光电仪器来说,如何用精确的数据来表示一个颜色,从而将他们区分开来一直是一个问题,从上个世纪开始就有许多科学家在给颜色定制一个区分标准。时至今日,国际上大多采用1976年推出的CIELAB均匀颜色空间及其对应的色差公式,来统一色差评价的标准。

 

颜色空间一词源于西方词语“Color Space”,又叫做色彩空间或色域。色彩学中,人们建立了多种色彩模型,以一维、二维、三维甚至四维空间坐标来表示某一色彩,这种坐标系统所能定义的色彩范围即色彩空间。CIELAB就是其中一种三维体系的均匀颜色空间,在工业得到了广泛的应用。

 

CIE1976L*a*b*色空间(即CIELAB色空间),是1976年由国际照明学会(CIE)推荐的均匀色空间。该空间是三维直角坐标系统,是目前最受广用的测色系统。以明度L*和色度坐标a*、b*来表示颜色在色空间中的位置。L*表示颜色的明度,a*正值表示偏红,负值表示偏绿;b*正值表示偏黄,负值表示偏蓝。

 

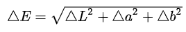
CIELAB色空间的相应的色差公式△Eab如下:


式中,△E* 为综合色差值。 △L*=L*样品-L*标准(明度差异)

 

△a*=a*样品-a*标准(红/绿差异)

 

△b*=b*样品-b*标准(黄/蓝差异)

苏ICP备2021010059号-1